提起铁电材料你会想到什么?含铁且导电的材料?别望文生义啦,铁电材料指的是具有铁电效应的一类材料。国防、航天、信息、能源、医疗等多个领域需要铁电材料柔韧,富有弹性,这对于刚性且脆性的常规铁电材料来说构成极大挑战。一直以来,空间中到底有多少维度是科学家持久关注的问题。数学童话、科幻小说《平面国》围绕着一个二维世界展开故事,讲述者“我”是二维世界数学家——“正方形”。他口述回忆了自己接触一维、三维的神奇的维度跨越经历和见闻。一些科学家像书中的“正方形”一样,通过不懈探索,拥有了操纵材料穿越维度的超脱视角和“魔法”。
基于国际科技创新中心网络服务平台科创热榜每日榜单形成的一周科技记忆,我们推出《一周前沿科技盘点》专栏。今天,为大家带来第五十三期。
1、《Science》丨喜欢 “正面刚”的铁电体,是如何被做成了“橡皮筋”?
弹性铁电体的化学设计思路
提起铁电材料你会想到什么?含铁且导电的材料?别望文生义啦,铁电材料指的是具有铁电效应的一类材料。
铁电材料的发现过程充满了意外。早在1920 年,法国人瓦拉赛克想开发一种地震仪,他想知道是否可以通过压电晶体来实现这一点。他选择使用 “罗息盐”这种晶体放在电场中进行实验时,偶然发现该材料的“铁电效应”——材料的电极化强度(内建电场)并不随着电场的撤销而消失,而是在电场为零时仍然保持着很大的电极化强度。此后,研究人员把具有类似性质的材料命名为“铁电材料”。 如今,铁电材料作为一类重要的功能材料,在国防、航天、信息、能源、医疗等多个领域都有着重大应用。
东南大学生物科学与医学工程学院青年教师张含悦与化学化工学院教授熊仁根合作发表论文,对聚(偏氟乙烯-三氟乙烯)基塑性铁电聚合物中实现的本征弹性化进行了评述和展望。
从需求角度看,为满足生物电子学应用(如软机器人、健康监测器和可穿戴电子设备),铁电材料需要柔软且柔韧,尤其要具有良好的弹性。这对于刚性且脆性的常规铁电材料来说构成极大挑战。研究文章介绍了同期杂志发表的关于通过化学修饰实现P(VDF-TrFE)铁电聚合物本征弹性化的研究工作。
文章指出,结合铁电化学设计策略中的引入单一手性策略,为未来弹性铁电材料的化学设计提供了丰富思路。在未来,弹性铁电体将会是铁电领域的一个重要研究方向。
2、《Nature Materials》丨石墨烯、地壳“折叠术”,一口气穿越三个维度
石墨烯螺旋结构的原子力显微镜图片及上视图/侧视图
一直以来,空间中到底有多少维度是科学家持久关注的问题。我们都知道,零维是点,一维是线,二维是面,三维是体。数学童话、科幻小说《平面国》围绕着一个二维世界展开故事,讲述者“我”是二维世界数学家——“正方形”。他口述回忆了自己接触一维、三维的神奇的维度跨越经历和见闻。一旦实现了维度跨越,从高维向低维看去,会洞悉一切,以至于“看山不再是山,看水不再是水”。一些科学家像书中的“正方形”一样,通过不懈探索,拥有了操纵材料穿越维度的超脱视角和“魔法”。
过去几年中,北京理工大学前沿交叉科学研究院黄元教授与国内外研究者围绕二维材料的结构调控发展了多种新技术,如二维材料褶皱、气泡和悬空结构的制备技术等,这些新技术实现了二维到一维(褶皱)和三维(气泡)的维度变换,为研究石墨烯等材料的新奇物性提供了材料基础。2020年,黄元教授等与合作者发展了快速冷却法制备二维材料褶皱的新技术,高效的获得了多种二维材料的规则褶皱结构,并发现褶皱产生后的层间距增加效应。这一层间距增加的效应可以通过数学上的勾股定理严格证明,是只与层状结构有关,而与具体层状材料类型无关的一条普适性规律。
近日,黄元教授与上海科技大学王竹君教授、中国人民大学季威教授,深圳理工大学丁峰教授,以及中国科学院物理研究所高鸿钧院士等国内外团队开展合作,在二维材料褶皱研究中取得新的进展。
研究人员发现,利用在不同铂(Pt)晶面的台阶形貌、比表面积、能量以及密勒指数之间的差异,可以诱导石墨烯朝特定方向形成褶皱并倾斜(折纸),从而获得具有特定手性角度的一维石墨烯带状褶皱结构。在高温下,可以利用氢气对弯曲度较大的石墨烯褶皱进行刻蚀,令石墨烯带状褶皱“撕裂”,边缘被“切开”,从而获得了SP2碳结构的螺旋位错。停止氢气刻蚀过程,使碳原子沿着暴露的石墨烯边界继续层状生长,最终可以得到具有特定固定层间转角的微米甚至毫米级尺寸的石墨烯双/四螺旋结构。
更加有趣的是,黄元教授与地球科学领域的研究团队合作,发现地壳的层状结构也会产生褶皱(大型山脉)。地壳层间距的增加会为流体物质提供天然通道,从而在宏观层面引发新的现象,统计结果表明,世界上大型山脉的分布与地震、火山和矿藏资源分布存在密切关联,这为寻找一些稀有资源提供了新的研究思路。
3、《Physical Review Letters》丨微观小宇宙中的“上帝粒子”有了新的观测方法
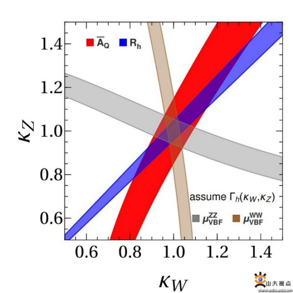
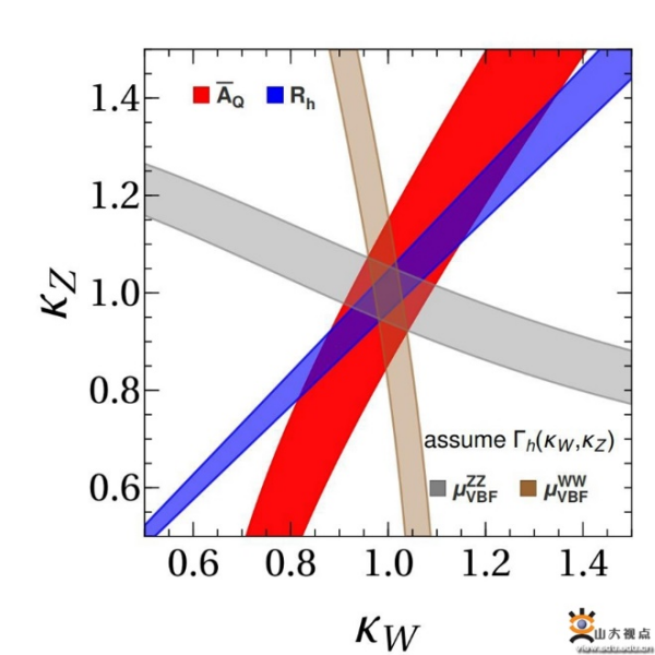
高亮度LHC上实验对希格斯与W或者Z耦合常数的限制
希格斯玻色子是一种亚原子粒子,质量是质子的126倍,而大小仅为质子的1/100。希格斯玻色子被人们戏称为“上帝粒子”,是因为它是粒子物理学中最重要的粒子之一,是基本粒子的质量来源。早在1964年英国物理学家彼得·希格斯就预言了它的存在,但是直到2012年7月4日,欧洲核子研究中心主任Rolf Heuer才宣布,经过数十年的探索,数千名科学家在大型强子对撞机(LHC)上发现了希格斯玻色子。自此,粒子物理学家对希格斯粒子的研究从搜寻阶段迈入测量阶段。
近日,山东大学物理学院李海涛教授与中科院高能物理研究所岩斌副研究员、密西根州立大学袁简鹏教授,在规范波色子融合产生希格斯粒子的研究中取得新进展,对于理解电弱相互作用的对称性自发破缺、基本粒子获得质量的机制有重要意义。具体来看,他们提出一种方法,即运用喷注电荷来标记强子对撞机上规范玻色子融合的两个大快度区域的喷注,以探测产生希格粒子的虚粒子,即规范玻色子W、Z或者胶子。
此研究成果可用于限制希格斯粒子与W/Z规范玻色子的耦合常数。文章中提出了新的物理观测量,定义了一种电荷不对称性,并根据蒙特卡洛模拟了对撞机对上希格斯粒子与W/Z规范玻色子耦合常数的限制。
4、《Trends in Biotechnology》丨如何在细胞中更高效地搭建“乐高积木”?
利用自组装支架重导细胞代谢流:自组装聚集Y385F/T294A PobA
分子自组装是在平衡条件下,分子间非共价键相互作用或者自发组合形成的一类稳定且具有某种特定功能或性能的分子聚集体或超分子结构。自然界的分子自组装分为两类。一是热力学自组装,它呈现出最大能量稳定性形式;二是由生命体编码自组装,即有机分子自组装成有一定功能的组织器官的过程。
人体细胞就包含了大量具备特定功能的自组装结构,如磷脂双分子层、蛋白质衣壳等,方寸之间,复杂的生物化学反应能够有条不紊地进行。酶自组装是目标酶可在蛋白自组装支架的辅助下聚集形成有序的大分子技术。近日,北京理工大学霍毅欣教授团队发表蛋白自组装领域综述文章。
在代谢工程中,自组装策略已被用于聚集同一途径中多个酶,以提升多个酶的顺序催化效率,进而提升整条途径的代谢通量,增强目标产物合成效率,实现高水平生产。蛋白自组装支架的性能对高效稳定的多酶组装系统的构建至关重要。该论文分析了代谢工程现阶段生产中遇到的难题、自组装支架在解决代谢工程难题中的应用优势。课题组将现有代谢工程领域应用的蛋白自组装支架进行分类,并对不同支架的组装方式进行了综合分析。阐述了自组装支架在代谢工程领域不同模块的应用场景,分析了现有自组装支架的不足,阐述了不同支架的组装性能,提出了针对不同支架的性能改进策略,为高效微生物细胞工厂的构建提供了新思路。
5、《Nature Communications》丨低温锂电池提升性能,“电动爹”走好不送!
常温/低温锂沉积过程中离子扩散和电荷转移示意图
新能源车是绿色出行生态体系的重要组成部分,但一些电动车尚存在技术瓶颈,使用起来很 “娇气”。以常见的锂电电动汽车为例,锂离子电池(LIBs)在低温(<-20 ℃)下的稳定运行至关重要。一些车主到了冬天跑长途就心生畏惧。究其原因在于,低温下锂离子(Li+)迁移速率降低,反应速率减慢,导致电池内阻增大,可逆容量下降,电动汽车的续航里程减少,甚至可能诱发锂枝晶生长,增加安全隐患。
近期,中国科学院物理研究所/北京凝聚态物理国家研究中心王雪锋特聘研究员和王兆翔研究员等人利用冷冻高分辨透射电子显微镜、电子能量损失谱、X射线光电子能谱和电化学阻抗谱等多种测试分析方法,研究了在锂金属电池中Li+在不同温度条件下的传输行为及界面相演化规律,并揭示其与电化学性能之间的构效联系。
通过调控电解液中Li+的溶剂化结构,如采用具有较低的最低未占据轨道能级和极性基团的电解液溶剂,生成富含无机物的界面相,提高其对温度的耐受性。这些研究有助于深入理解温度调控锂沉积/溶解过程中的Li+行为和界面相演变,加深人们电池内部反应动力学瓶颈的理解,为低温电池设计和性能改善提供理论依据。





