分子光开关因其可通过光照发生可控的异构化反应,展现出在生物学、化学和材料科学等多个领域的重要应用潜力。近日,东南大学李全团队受邀对可见光和近红外光驱动的分子光开关及其生物应用发表长篇综述论文。
北京理工大学贺志远团队开发了一种基于冰核蛋白和聚集诱导发光分子的结冰预警水凝胶器件。该器件能通过提前结冰和颜色编码来实现结冰事件发生时间的精准预测,从而进行有效的防/除冰措施,并在风电领域展现出独特的应用价值。
基于国际科技创新中心网络服务平台科创热榜每日榜单形成的一周科技记忆,我们推出《一周前沿科技盘点》专栏。今天,为大家带来第145期。
1.《Advanced Functional Materials》丨揭秘生物应用“宝藏”, 分子光开关借光“起舞”

分子光开关因其可通过光照发生可控的异构化反应,展现出在生物学、化学和材料科学等多个领域的重要应用潜力。通过精确调控这些分子在特定波长光照下的结构变化,可以实现对生物功能的高时空分辨率远程控制。这一特性使得分子光开关成为调控生物系统的理想工具。
近日,东南大学智能材料研究院院长、首席科学家、化学化工学院李全团队受邀对可见光和近红外光驱动的分子光开关及其生物应用发表长篇综述论文。在该文章中,李全团队重点介绍了当前最常见的可见光和近红外光驱动的分子光开关,主要有偶氮苯、二芳基乙烯、螺吡喃、靛蓝、给-受体斯坦豪斯加合物等,介绍了它们的异构化机理和目前的设计策略并重点总结了它们在多个生物医学领域中的应用,包括生物成像、传感、药物递送、光控癌症治疗以及光药理学等。最后,文章总结了光开关未来在生物应用中的发展机遇与挑战。这篇文章讨论了一个前沿的跨学科研究领域,有望推动动态智能响应材料在生物医学领域的进一步发展。
2.《Nature Communications》丨“破冰”困局,预警水凝胶为多领域保驾护航

近日,北京理工大学贺志远教授的团队开发了一种基于冰核蛋白(INPs)和聚集诱导发光分子(AIEgens)的结冰预警水凝胶(IFH)器件。该器件通过提前结冰和颜色编码来实现结冰事件发生时间的精准预测,从而进行有效的防/除冰措施,并在风电领域展现出独特的应用价值。
结冰现象对风力发电、电网设施和交通系统会造成严重影响,可能导致能源消耗、经济损失和安全问题。现有防冰技术主要集中在防/除冰设备和材料的开发上,而对结冰预测机制的研究相对不足。传统方法难以准确预测固体表面的冰晶形成时间,这主要归因于冰核过程的随机性和不可预测性,结冰过程受多种环境参数影响,不同地理、气象和物理条件下的结冰情况差异显著,仅依靠气象数据建模预测的准确率不足。受自然界耐寒生物通过其体内产生的冰成核蛋白(INPs)调控细胞外结晶独特机制的启发,其研究创新设计了一种基于冰核蛋白(INPs)来达到比外界大环境提前一段时间结冰的效果,制备了一种结冰预警水凝胶器件。通过调控INPs含量,可以在-6至-28°C的宽温度范围内精确预测结冰时间,并利用聚集诱导发光(AIE)分子的特殊功能进行可视化预警,从而有效地提前开启加热除冰措施,在2小时内使风力发电机净增发电量约 1898 kWh。
团队研究开发的IFH装置通过仿生设计和材料创新,突破了传统技术只能在结冰后检测的局限,实现了结冰事件的精准预测和可视化监测,从被动应对转变为主动预防。颜色编码系统的引入使得不同危险等级的结冰情况得以区分,为主动式除冰技术提供了可靠的时间窗口。结冰预警水凝胶器件具有体积小、响应快、抗恶劣环境等特点,在冻雨、低温等实际工况下展现出可靠的预警性能和长期稳定性,其在风力发电领域的成功应用证明了该技术的实用价值。该技术有望扩展到电网设施、交通运输等多个防冰应用场景,为解决结冰灾害提供新的技术方案,也为智能材料在灾害预警领域的应用开辟了新途径。
3.《ANESTHESIOLOGY》丨疼痛的本质是什么?

疼痛是一种复杂的感觉和情感体验,涉及感觉、情绪和社会认知等多个方面的生理和心理活动。大量临床研究表明,慢性痛所伴随的厌恶、恐惧、抑郁,甚至厌世等负性情绪给患者带来的身心伤害可能超过疼痛本身。然而,人们对疼痛的情绪和情感成分的研究明显滞后于对痛感觉的研究。
对此,复旦大学脑科学研究院/医学神经生物学国家重点实验室张玉秋课题组与复旦大学类脑智能科学与技术研究院肖晓研究员合作。张玉秋课题组前期的研究发现,脑源性雌激素对雌、雄动物痛厌恶情绪的产生都是充分和必要的。而合作研究进一步揭示,分布在啮齿类前扣带皮层吻侧部(rACC)的三种雌激素受体,即经典的ERα 和ERβ 以及G蛋白耦联的GPER,在介导痛厌恶情绪产生过程中扮演着不同的角色。选择性敲减rACC内兴奋性锥体神经元表达的ERβ而不是ERα完全阻断痛厌恶情绪的产生;激活rACC脑区的雌激素受体ERβ和GPER可直接诱导痛相关负性情绪出现;对该作用的机制研究显示,rACC内雌激素受体ERβ 和GPER分别通过磷酸化蛋白激酶A(PKA)和蛋白激酶B(AKT)调控兴奋性锥体神经元突触部位的NMDA受体GluN1和GluN2B亚单位的表达和功能可塑性,进而介导痛厌恶情绪的形成。其研究成果为我们更为全面地理解疼痛的本质及慢性痛的综合治疗提供了新的线索和理论依据。
4.《Nature Materials》丨本征透明金属“超带隙”问世,开拓透明导电材料新领域

透明导体兼具导电性与透明性,广泛应用于触控屏、太阳能电池、发光二极管、电致变色和透明显示等光电器件,成为现代信息与能源技术中不可或缺的核心材料。目前主流的透明导体来源于掺杂本来透明的带隙材料(半导体或绝缘体),掺杂过程以牺牲部分透明性为代价来实现导电性,导电与透光之间相互制衡。为突破这一局限,一种无需掺杂的本征透明导体概念于20年前(2005年)被提出,通过一种非常特殊的金属能带结构来实现理想透明,但至今从未在实际材料中被发现。
近日,中国科学院物理研究所/北京凝聚态物理国家研究中心光物理重点实验室的博士生吴正冉等在陆凌研究员的指导下,于一类有机电荷转移盐中首次实验发现了这种本征透明金属,并将这种新的透明波段起名为“超带隙”。金属中的超带隙是指介于带内吸收和带间吸收之间的一段无吸收波段,和传统绝缘体带隙中没有光学吸收的原理一致;实现超带隙的特殊电子结构需要其金属带足够孤立,金属带带宽小于费米面与其他占据态和非占据态之间的能量差,使带内跃迁引起的吸收可以被金属带带宽截断,而此带内吸收的截断能量又小于带间吸收的起始能量,从而打开超带隙。为了寻找这样的超带隙金属,研究团队的胡孝磊博士曾经对整个无机材料数据库做过高通量搜索,但对应到实际体系却一无所获,绝大多数材料在实验上并不导电。
研究团队没有放弃,在最新的工作中,他们计算发现一类已知的有机导体TMTTF2X可以符合超带隙条件,并用电化学结晶生长了样品,块体单晶在预言的超带隙波段展现出显著的透明窗口,范围从可见红光至近红外,在30微米厚度下依然能透光。其最低的光学损耗约为0.01,这一数值在已知化学计量比金属中最低,与商用透明导电氧化物薄膜(ITO)持平,同时其色散与反射又均低于ITO。这一工作首次在实验上将电子导电性与光学透明性结合于本征固体材料之中,开辟了通过超带隙实现透明导电的新路径。
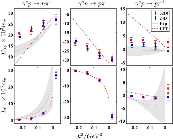
5.《Physical Review Letters》丨从“空空如也”到量子“涨落秘境”,格点QCD开启π介子研究新途径

在经典物理中,“真空”通常被理解为“什么都没有”。但在现代量子场论中,真空是所有量子场处于最低能量状态的复杂系统,远非“空空如也”。即使没有任何“真实”粒子存在,各种量子场(如电磁场、夸克场、胶子场等)仍在不断地发生量子涨落,持续产生并湮灭粒子。这些量子涨落虽然短暂、难以直接观测,却会在实际物理过程中留下可测的印记。例如在量子电动力学(QED)中,电子周围的电荷分布会因虚光子的涨落而改变,这被称为“电荷屏蔽”;在量子色动力学中(QCD),胶子的涨落导致夸克之间的强作用随距离变化,是理解夸克禁闭和渐近自由等基本特性的关键。
北京大学物理学院理论物理研究所冯旭和刘川教授领导的格点量子色动力学(格点QCD)研究团队,与美国康涅狄格大学靳路昶教授和德国波恩大学的Ulf-G. Mei?ner教授合作,在国际上首次实现了核子诱发的π介子电产生与弱产生过程的格点QCD计算。其研究通过发展自旋投影与多算符构造技术,对核子四点函数进行了广义本征值分析,从而首次提取了阈值点的π介子产生多极振幅,并与最新实验数据分析和低能定理的理论预言进行了比较。比对结果显示,格点QCD计算在研究π介子产生过程中具有独到的优势,不仅可以帮助解决实验数据缺失或不确定性较大带来的困境,也为未来进一步研究中微子-核子非弹性散射奠定了坚实基础。
6.《Earth’s Future》丨北方植物获取氮的 “新发现”:无机氮贡献被低估

氮,这个在化学元素周期表中排名第七的元素,是植物生长不可或缺的营养。然而,在以苔原和泥炭地为主的地球北方陆生系统,植物获取氮的策略可能和我们想象中的不太一样。
近日,天津大学刘学炎团队分析中国东北泥炭地和阿拉斯加苔原的土壤和同属植物(共6个属31个种)的氮同位素,应用团队新构建的方法评估植物氮源贡献。他们发现,尽管北方生态系统土壤中无机氮含量比有机氮低3倍,但无机氮对植物总氮的贡献却比有机氮高。这意味着,我们可能低估了无机氮对北方植物的重要性。
通过进一步对比中国东北泥炭地和阿拉斯加苔原同属植物的氮源贡献,他们还发现气候变暖(年均温增加3.5℃)和人为氮污染(氮沉降增加12倍)虽然导致土壤无机氮的增加量比有机氮低3倍多,但二者对植物总氮的贡献格局并未发生改变。这项研究揭示了北方植物获取氮的“新秘密”,还帮助我们了解了北方植物如何应对全球气候变暖和氮污染日益严重的挑战。
